师大首页 访问旧版 联系我们 蒙语 English
您的位置: 首页通知公告 → 正文
阅读新闻

yl23455永利集团推荐优秀应届本科毕业生免试攻读硕士学位研究生工作实施细则 (修订)

[日期:2025-09-05]

一、推荐原则

1.推荐工作坚持自愿申请、全面衡量、择优选拔的基本原则。

2.推荐工作坚持公开、公正、公平的原则,坚持落实“集体研究、集体决策”机制,规范执行回避制度。

3.落实立德树人根本任务。坚持德智体美劳全面衡量,坚持以德为先,把学生思想品德考核作为推免生遴选的重要内容和录取的重要依据,严格遵循实事求是的原则,注重对学生政治态度、思想表现、道德品质、科学精神、诚实守信、遵纪守法等方面的考查,思想品德考核不合格者不予推荐和录取。

4.突出考查学生的一贯学业表现,注重并加强对学生本科阶段学习情况的过程性评价,将本科阶段学业综合成绩作为推免工作最基础的遴选指标,不专门组织遴选推免生的考试(包括笔试、面试等)。

5.引导学生全面发展。可将学生参军入伍服兵役、参加志愿服务、到国际组织实习、科研成果、竞赛获奖等符合全面发展价值导向的因素纳入学校推免生遴选指标体系,综合评价学生的各方面表现。

6.统筹分配推免指标。学院按照学校下达的推免生名额和相关文件精神,把各专业(系部)应届毕业生人数作为名额分配基础,综合考虑人才培养质量、专业建设水平等,科学合理制定推免名额分配办法,确定各专业(系部)推免生名额。

班级推免名额=班级毕业生总数×普通本科毕业生推免比例(保留小数点后两位,四舍五入)。

二、推免生条件

1.纳入国家普通本科招生计划录取的应届毕业生(不含专升本、第二学士学位、独立学院学生、优师计划师范生),且毕业时能够获得学士学位。

2.政治态度、思想表现、道德品质、科学精神、诚实守信、遵纪守法等思想品德考核合格,无任何违法违纪受处分记录,无任何考试作弊和剽窃他人学术成果记录。

3.学生思想品德考核作为推免遴选和录取的首要依据,思想品德考核不合格不予推荐和录取。

4.学业成绩排名应在本专业(或本班)前 25%,必修课成绩平均在75分以上,所有的选修课必须60分以上。修读的所有课程无不及格记录且修读的所有课程以第一次通过成绩计算。修读的课程以教务系统学生选课记录为依据。

5.学业成绩按照《yl23455永利学生素质评价办法》中第七条规定的“学业成绩测评”方法进行计算。

其中转专业学生专业必修课、专业选修课成绩须以转入专业培养方案课程为主要依据。原专业课程可以互抵的以教务认定为准。

6.全国大学外语等级考试四级达到规定要求(710 分制 达到 425 分及以上,100 分制达到 60 分及以上高中阶段为民族语言授课学生的学生外语成绩可适当放宽(710 分制不低于 345 分,100 分制不低于 48

7.学校将学生参军入伍服兵役、参加志愿服务、到国际组织实习、科研成果、竞赛获奖等符合全面发展价值导向等因素纳入推免生遴选指标体系,综合评价学生的各方面表现。学生在某一方面有多项加分情况时,原则上只取一项,各项加分累计不超过0.6分,不得为仅符合单一或部分遴选指标的学生单列计划或破格推荐。

1)学生本科阶段以独立作者或第一作者发表的以内蒙古 师范大学为第一单位的与学业密切相关的《yl23455永利科技 处(社科处)科研业绩分类参考》认定的科研论文、文艺创作与体育竞赛,C 类及以上加 0.3 分,D 类加 0.15 分;获得排名第一国家授权的发明专利加 0.1 分;获得排名第一国家授权的实用型专利、外观设计专利、软件著作权等加 0.05 分。累计加分最高不超过 0.3 分。

2)学生本科阶段作为主力成员参加与学业相关的竞赛(教务处制定的本科生学科竞赛目录内的竞赛)、 中国国际大学生创新大赛、“挑战杯”全国大学生课外学术科技作品竞赛、“挑战杯”中国大学生创业计划大赛,获得国家级一等奖及以上的团队负责人加 0.3 分,其他人员加 0.15; 国家级二等奖的团队负责人加 0.2 分,其他人员加 0.1;国家级三等奖的团队负责人加0.1 分,其他人员加 0.05,国际赛事参照执行,但不得低于国内赛事相关要求。累计加分最高不超过 0.3 分。

3)若学业综合成绩(含加分)相同,则:

优先考虑顺序为:学生本科期间应征入伍退役、到国际组织实习三个月及以上、志愿服务事迹突出影响广泛的;学业成绩;全国大学生外语等级及成绩(等级高者优先,等级相同的,成绩高者优先);在校期间获得校级以上奖学金、优秀学生干部。其中涉及等级的,以等级高低区分,等级相同的,以成绩或成效区分。

三、成绩测算细则

1.经学生本人自主申请,符合条件的应届本科毕业生进入综合成绩测算。

2.学业成绩按照《yl23455永利学生素质评价办法》中第七条规定的“学业成绩测评”方法进行计算。

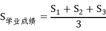
学业成绩=∑(必修课和专业选修课考核成绩×该门课程应得学分)÷本学年所修必修课和专业选修课学分总数

其中,S1表示学生第一学年学业成绩(即第一学年提交学校的该生学生素质评价中的学业成绩),S2表示学生第二学年学业成绩(即第二学年提交学校的该生学生素质评价中的学业成绩),S3表示学生第三学年学业成绩(即第三学年提交学校的该生学生素质评价中的学业成绩)。

学生素质评价中的学业成绩以教务系统成绩为依据。

3.最终推免结果按照综合成绩依次排名。

综合成绩=学业成绩+全面发展价值导向加分

三、推免工作流程

1.发布通知。学院成立推免生遴选工作领导小组,发布通知公告,明确申请时间、申报细则和推免生名额等信息。

2.学生自主申请。符合遴选基本条件的学生,可向学院提交申请,填写《yl23455永利推荐免试攻读硕士学位研究生资格申请表》,并提交相应证明材料(包括成绩单、大学外语四级或六级成绩单或证书、获奖证书、发表论文原件等)。

3.班主任初审。申请学生所在班班主任审核学生提交的成绩单及其他佐证材料,确认符合推免条件后,须班主任和学生本人签字后于班内公示并提交推免生遴选工作领导小组

4.学就办、教务办复审。学就办、教务办对初审材料进行复审。

5.学院遴选。学院推免生遴选工作领导小组根据申请人学业成绩、全面发展价值导向加分项、思想品德和日常综合表现,确定初选名单并在学院网站公示不少于3个工作日。

6.公示结束后,学院将公示无异议的推免生初选名单报学校推免生遴选工作领导小组办公室。



                               yl23455永利集团

                             2025年9月5日